您好,期货手续费一般参考交易所标准,如黄金10元,白银3.5元,豆粕1.5元,菜粕1.5元,白糖3元,鸡蛋6元等等。开户准备手机,身份证,银行卡,下载期货公司APP开户。
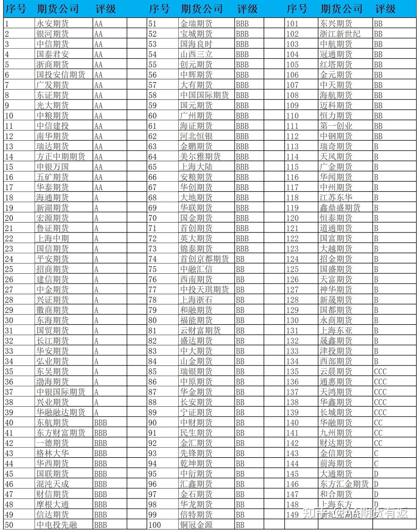
AA级的期货公司有海通期货,招商期货,光大期货,南华期货等等,只有个别AA级期货公司手续费和保证金比较低。
期货开户1分 AA 加QQ:2262807148
一、期货交易心得
1、主观交易,除了要特别重视资金管理外,还要重视基本面分析和情绪控制。对于基本面的分析,我就不做过多的阐述了。市场上各种研究报告、统计数据、调研报告,只要你肯下功夫,大多数都能拿到。根据这些来做基本面分析,日积月累下来,交易者判断方向的准确度应该可以达到60%,甚至更高,但是60%以上的准确度不能保证赚钱,而且很有可能亏钱。
2、期货市场上的每一笔成交、每一对买卖盘、每一次波动的背后,都是众多市场参与者对市场海量信息的甄别和抉择,期货交易者每天都要面对从众与慎独的心理博弈。因此,投资者既要有兼听的心胸,也要有独立判断和抉择的能力。期货市场上的每一笔成交、每一对买卖盘、每一次波动的背后,都是众多市场参与者对市场海量信息的甄别和抉择,其间混杂着从众与慎独等人性特征的动态博弈。
3、我们应该只做符合自己交易系统的行情,实际这种行情很少的,一旦做进去,利润是很大的。哪怕您就是没有自己的交易系统,哪种行情适合做,我的文章有专门写。贪多嚼不烂。人多瞎胡乱。鸡多不下蛋。专一,专注。加上死板的彻彻底底执行力。方可成功。

二、期货手续费和保证金



三、期货公司排名
